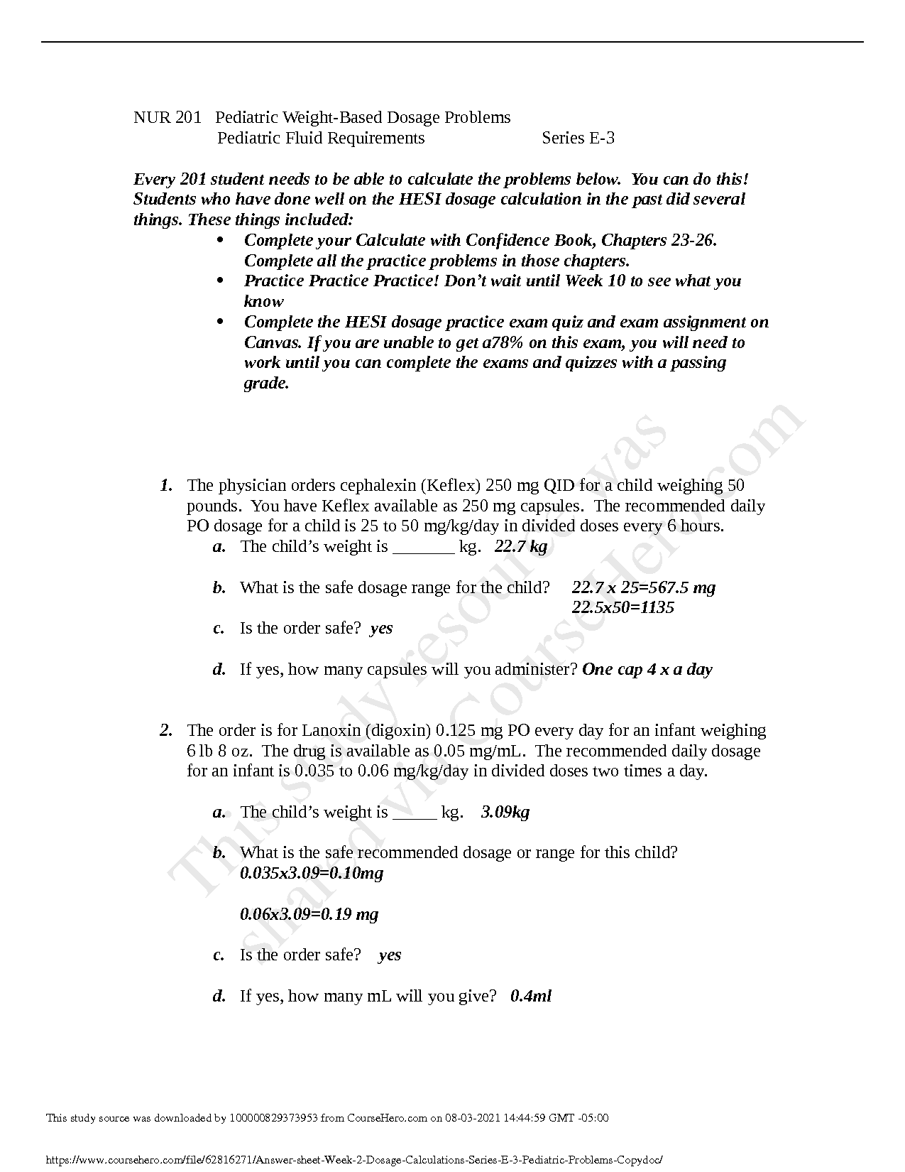
When it comes to administering medication, accuracy is crucial to ensure the safety and well-being of patients. Healthcare professionals, such as nurses and pharmacists, must have a solid understanding of dosage calculations to prevent errors that could potentially harm patients. One of the most effective ways to practice and improve these skills is through dosage calculation practice worksheets.
These worksheets are designed to provide healthcare professionals with scenarios that require them to calculate the correct dosage of medication based on factors such as the patient’s weight, age, and the prescribed dose. By working through these practice problems, professionals can enhance their ability to accurately determine the appropriate amount of medication to administer.
One common type of dosage calculation practice worksheet involves converting between different units of measurement, such as milligrams to milliliters or pounds to kilograms. Healthcare professionals must be proficient in these conversions to accurately calculate dosages based on the prescribed amount of medication.
In addition to unit conversions, dosage calculation practice worksheets may also include scenarios that require professionals to calculate dosages based on a patient’s weight. For example, a worksheet may present a scenario where a child weighing 30 kilograms requires a medication dosage of 0.1 mg/kg. Healthcare professionals must be able to accurately calculate the correct dosage based on the patient’s weight in order to administer the medication safely.
By regularly practicing with dosage calculation worksheets, healthcare professionals can improve their skills and confidence in accurately determining medication dosages. These exercises not only help professionals prepare for real-life scenarios in clinical settings but also serve as a valuable tool for ongoing education and training in the healthcare field.
In conclusion, dosage calculation practice worksheets play a crucial role in helping healthcare professionals enhance their skills in accurately determining medication dosages. By working through scenarios that require professionals to calculate dosages based on factors such as unit conversions and patient weight, these worksheets provide valuable practice opportunities that can ultimately improve patient safety and outcomes.
