In algebra, quadratic equations are equations of the form ax^2 + bx + c = 0, where a, b, and c are constants. Factoring and solving quadratic equations are important skills in mathematics that are often used in various real-life situations. By factoring a quadratic equation, we can find its roots or solutions, which are the values of x that make the equation true.
Quadratic equations can be solved using different methods, such as factoring, completing the square, or using the quadratic formula. Factoring is a popular method for solving quadratic equations because it is relatively straightforward and can be applied to a wide range of problems.
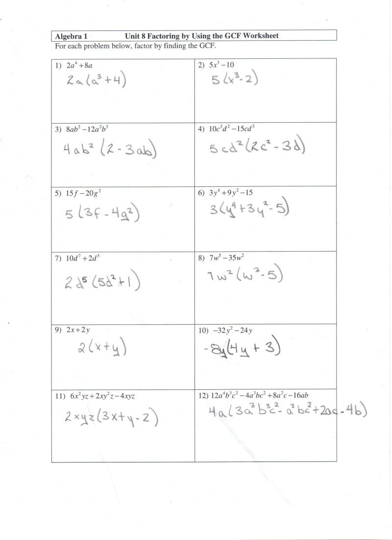
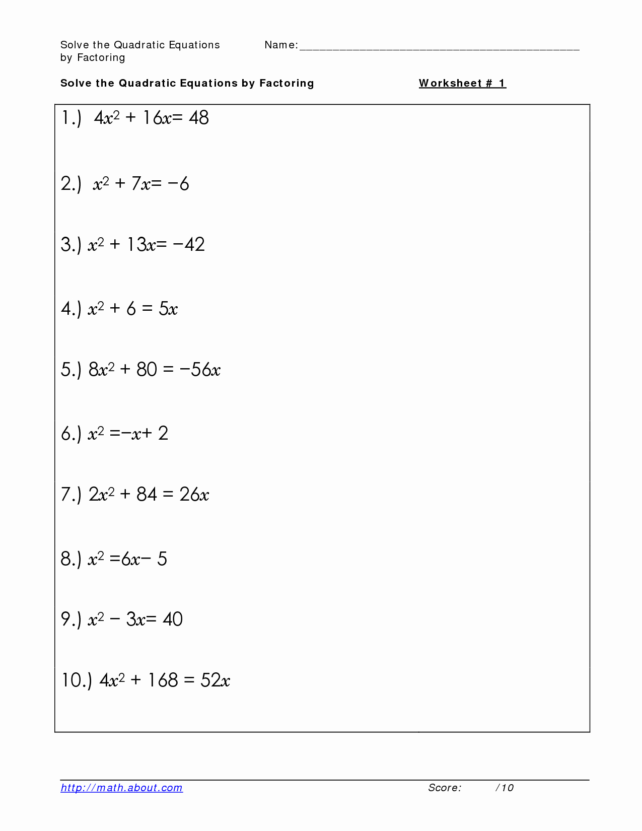
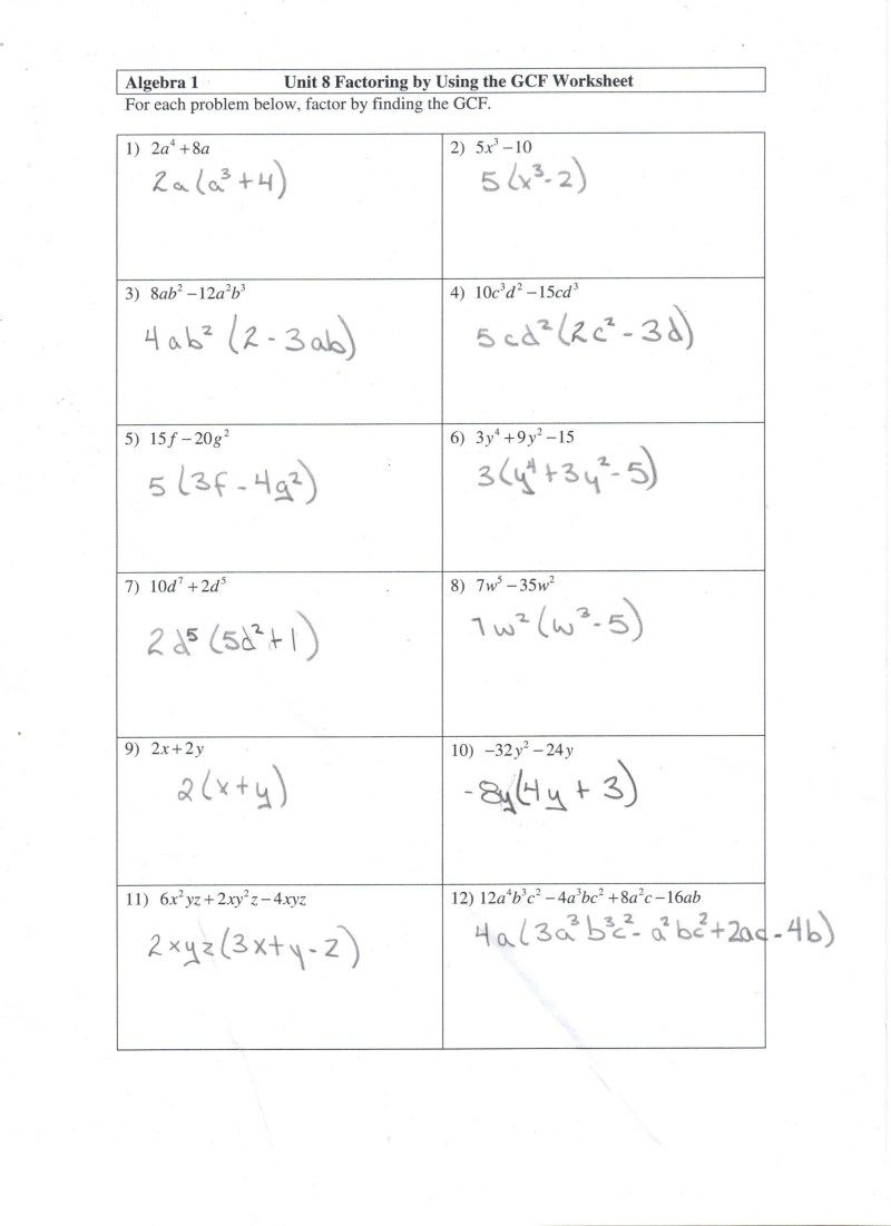
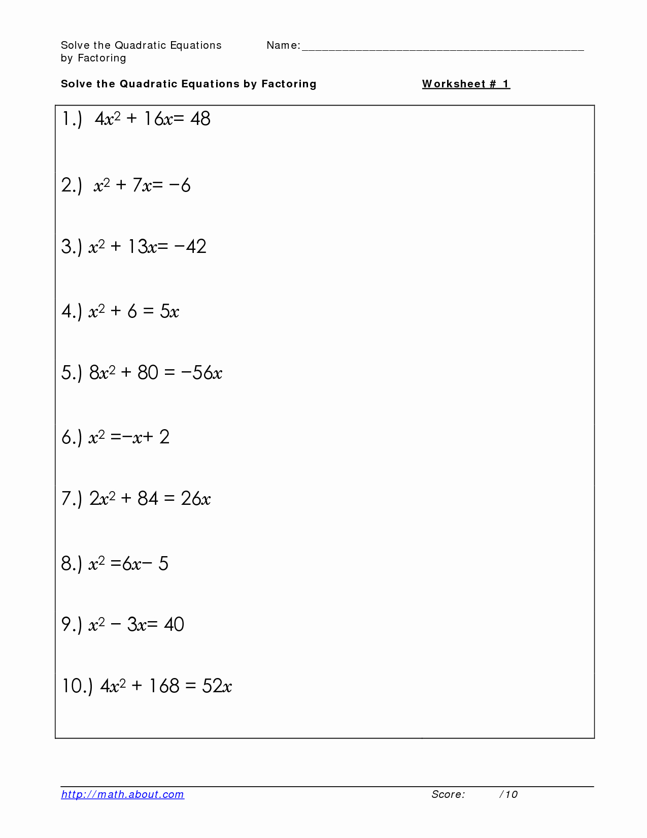
Factoring and Solving Quadratic Equations Worksheet
A factoring and solving quadratic equations worksheet typically consists of a series of problems that require students to factor and solve quadratic equations. These worksheets usually include equations of varying difficulty levels, allowing students to practice their factoring and solving skills.
When working on a factoring and solving quadratic equations worksheet, students are required to identify the factors of the quadratic equation and find the values of x that satisfy the equation. This process involves breaking down the quadratic equation into its factors and then setting each factor equal to zero to find the roots.
Factoring and solving quadratic equations worksheets are beneficial for students to improve their problem-solving skills and gain a better understanding of quadratic equations. By practicing with various problems, students can enhance their ability to factor and solve quadratic equations efficiently.
Furthermore, factoring and solving quadratic equations worksheets help students develop critical thinking and analytical skills. These worksheets require students to think critically about the factors of the quadratic equation and apply the appropriate factoring techniques to solve the equation.
In conclusion, factoring and solving quadratic equations worksheets are valuable tools for students to practice and enhance their factoring and solving skills. By working through a variety of problems, students can improve their understanding of quadratic equations and develop essential problem-solving abilities that are beneficial in mathematics and beyond.
