Factoring quadratic equations is an essential skill in algebra that allows us to solve for the roots of a quadratic equation. It involves breaking down a quadratic equation into its factors to find the values of x that satisfy the equation. One way to practice and improve this skill is through the use of worksheets.
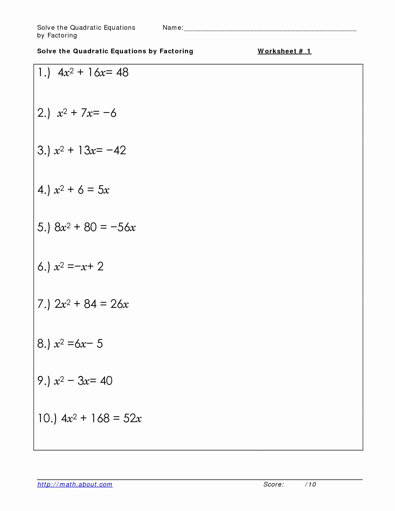
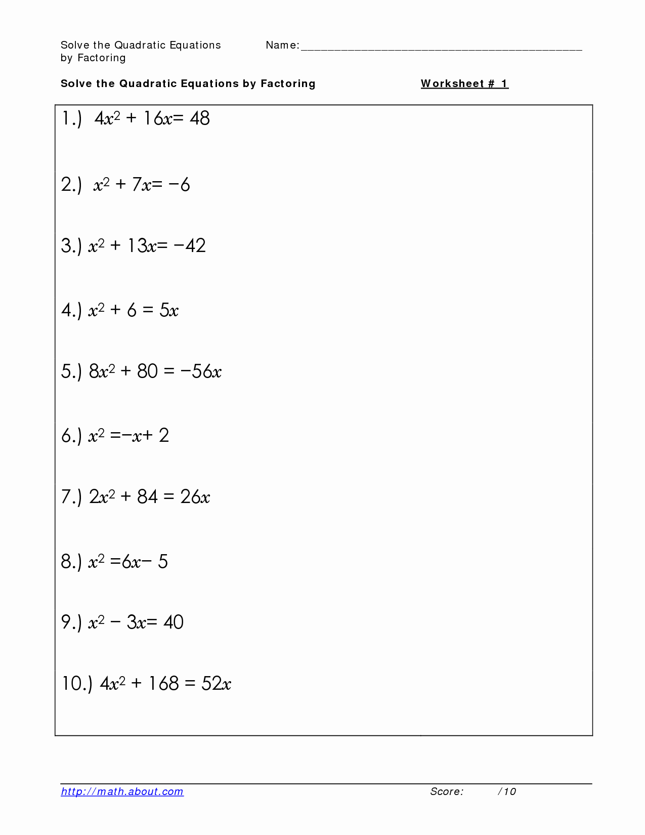
A factoring quadratic equations worksheet typically contains a variety of quadratic equations that students need to factor. These worksheets can include equations with different levels of difficulty, ranging from simple trinomials to more complex equations that require the use of factoring techniques such as grouping or the difference of squares.
When working on a factoring quadratic equations worksheet, students are required to apply their knowledge of factoring techniques to factor each equation and determine the values of x that make the equation true. This process helps students develop their problem-solving skills and strengthen their understanding of quadratic equations.
By practicing with a factoring quadratic equations worksheet, students can improve their ability to factor quadratic equations efficiently and accurately. This skill is not only important for solving quadratic equations but also for understanding higher-level mathematical concepts and applications in fields such as physics and engineering.
In addition to worksheets, students can also use online resources and software programs to generate random quadratic equations for practice. These tools can provide instant feedback and solutions, allowing students to check their work and identify any mistakes they may have made in the factoring process.
In conclusion, working on a factoring quadratic equations worksheet is a valuable way for students to practice and enhance their factoring skills. By mastering this skill, students can confidently solve quadratic equations and tackle more complex mathematical problems with ease.
