Skip to content

Pythagorean Theorem Worksheet Answer Key

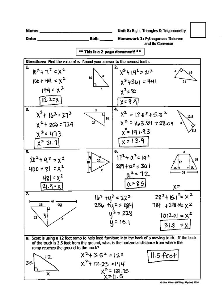
    The Pythagorean Theorem is a fundamental concept in geometry that relates to the sides of a right triangle. It states that the square of the hypotenuse (the side opposite the right angle) is equal to the sum of the squares of the other two sides. This theorem is widely used in various mathematical and real-world applications.

    One way to practice and reinforce understanding of the Pythagorean Theorem is through worksheets. These worksheets typically consist of various right triangles with missing side lengths, and students are required to use the theorem to find the missing lengths. Having an answer key is crucial for students to check their work and ensure they are on the right track.

    pythagorean theorem worksheet answer key

    When providing a Pythagorean Theorem worksheet answer key, it is important to show the step-by-step process of how the solution was obtained. This not only helps students verify their answers but also allows them to understand the reasoning behind the calculations. It is a valuable learning tool that promotes critical thinking and problem-solving skills.

    Additionally, the answer key should include not only the final numerical values but also the mathematical expressions used to arrive at those values. This way, students can see the application of the Pythagorean Theorem in action and gain a deeper understanding of the concept. It also helps them identify any mistakes they may have made along the way.

    Some Pythagorean Theorem worksheets may also include word problems or real-life scenarios that require students to apply the theorem in a practical context. The answer key for these types of problems should provide not only the numerical solution but also a clear explanation of how the theorem was used to solve the problem. This helps students see the relevance of the theorem in everyday situations.

    In conclusion, having a comprehensive answer key for Pythagorean Theorem worksheets is essential for student learning and comprehension. It allows students to check their work, understand the reasoning behind the calculations, and see the practical applications of the theorem. By providing detailed solutions and explanations, teachers can help students master this important geometric concept.


    Download and Print pythagorean theorem worksheet answer key Listed below

    Pythagorean Theorem Word Problems Matching Worksheet Answer Key

    Pythagorean Theorem Worksheets Worksheets Library

    Pythagorean Theorem Assignment Answer Key PDF Worksheets Library