Literal equations can be tricky to solve, especially when you have multiple variables and constants to consider. A worksheet dedicated to practicing solving literal equations can help you improve your skills and build your confidence in this area of algebra. By working through various problems and scenarios, you can become more proficient in manipulating equations to isolate a specific variable.
When tackling a literal equations worksheet, it’s important to first understand the basic principles of algebra and how to manipulate equations. This includes knowing how to combine like terms, distribute coefficients, and use inverse operations to solve for a variable. With practice and patience, you can become more comfortable with these techniques and apply them to a variety of literal equations.
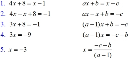
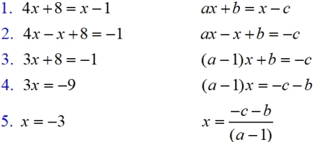
One key strategy for solving literal equations is to isolate the variable you are trying to solve for by getting it on one side of the equation. This may involve simplifying the equation by combining like terms or distributing coefficients before applying inverse operations. By following a systematic approach and carefully working through each step, you can successfully solve for the desired variable.
Another important aspect of solving literal equations is to check your work and ensure that your solution is accurate. This can be done by substituting the value you found back into the original equation and verifying that it satisfies the equation. If the substituted value makes the equation true, then you have successfully solved the literal equation.
Practice makes perfect when it comes to solving literal equations, so don’t be discouraged if you encounter challenges along the way. By working through a variety of problems on a worksheet, you can strengthen your problem-solving skills and become more proficient in manipulating equations. Remember to take your time, carefully follow each step, and double-check your work to ensure accuracy.
In conclusion, solving literal equations can be a challenging but rewarding aspect of algebra. By utilizing worksheets dedicated to practicing this skill, you can improve your abilities and gain confidence in manipulating equations. With practice, patience, and perseverance, you can become proficient in solving literal equations and excel in algebraic problem-solving.
