Quadratic equations are equations of the form ax^2 + bx + c = 0, where a, b, and c are constants and x is the variable. Solving quadratic equations can be done using various methods, and one of the most common methods is factoring. Factoring involves breaking down the quadratic equation into its factors to find the values of x that satisfy the equation.
Factoring quadratic equations is a crucial skill in algebra that allows you to find the solutions to the equation efficiently. By factoring, you can easily identify the roots of the equation and solve for the values of x. This method is particularly useful when the quadratic equation is in the form of (x – p)(x – q) = 0, where p and q are the roots of the equation.
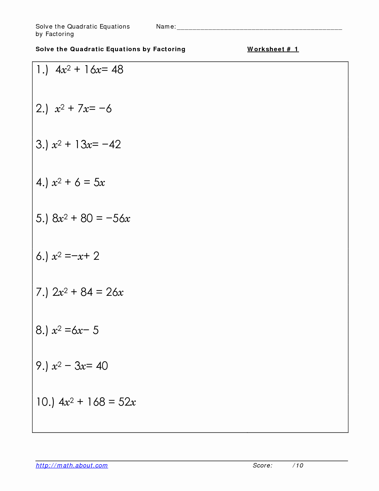
Solving Quadratic Equations Worksheet by Factoring
When given a quadratic equation to solve by factoring, the first step is to set the equation equal to zero. For example, if the equation is x^2 + 5x + 6 = 0, you would rewrite it as x^2 + 5x + 6 = 0. Next, factor the quadratic equation into two binomials. In this case, the factors would be (x + 2)(x + 3) = 0.
Once you have factored the equation, set each factor equal to zero and solve for x. For the example above, you would set (x + 2) = 0 and (x + 3) = 0. Solving for x, you would find that x = -2 and x = -3 are the solutions to the quadratic equation x^2 + 5x + 6 = 0.
It is important to remember that not all quadratic equations can be easily factored. In cases where factoring is not possible, other methods such as the quadratic formula or completing the square may be used to find the solutions. However, factoring is often the preferred method as it is straightforward and efficient when the equation is factorable.
Practicing solving quadratic equations by factoring through worksheets can help reinforce your understanding of the concept and improve your problem-solving skills. By working through various examples and exercises, you can become more proficient in factoring quadratic equations and finding the solutions accurately.
In conclusion, solving quadratic equations by factoring is a valuable skill that is essential in algebra. By breaking down the equation into its factors, you can easily determine the solutions and solve for the values of x. Practice solving quadratic equations through worksheets to enhance your factoring skills and master the concept.
