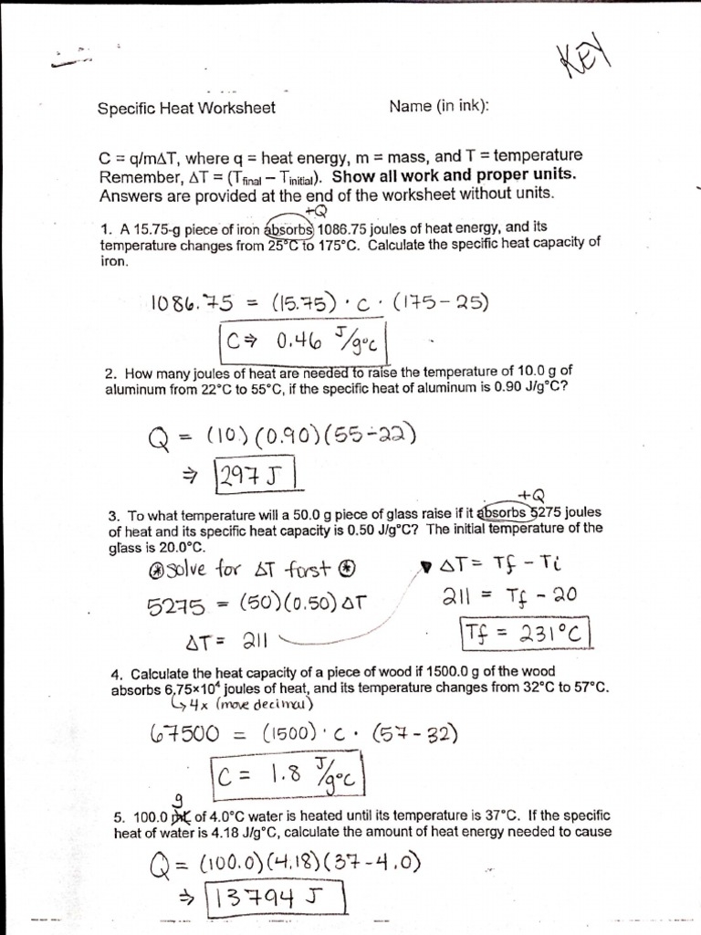
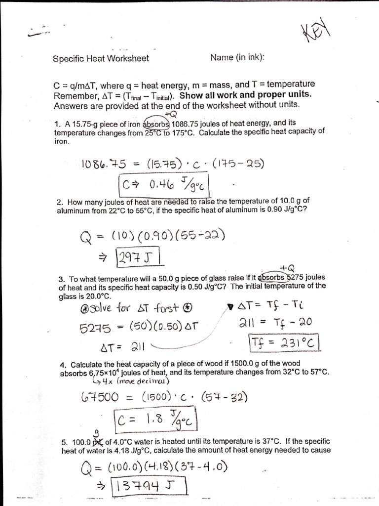
Specific heat calculations are an important aspect of physics and chemistry. This worksheet is designed to help students practice and understand how to calculate specific heat using the formula Q = mcΔT. By working through various problems and examples, students can improve their skills and gain a better understanding of this concept.
Specific heat is the amount of heat energy required to raise the temperature of one gram of a substance by one degree Celsius. It is a unique property of each substance and plays a crucial role in determining how materials respond to changes in temperature.
When working through the specific heat calculations worksheet, students will be given different scenarios where they need to calculate the amount of heat energy transferred. This involves identifying the mass of the substance, the specific heat capacity, and the change in temperature. By plugging these values into the formula Q = mcΔT, students can determine the heat energy involved in each situation.
Through practice with specific heat calculations, students can enhance their problem-solving skills and develop a deeper understanding of the relationship between heat, mass, and temperature. This worksheet provides a structured way for students to work through problems and gain confidence in their ability to apply the specific heat formula.
By completing the specific heat calculations worksheet, students can also reinforce their understanding of key concepts in physics and chemistry. They will learn how to manipulate the formula to solve for different variables and gain a better grasp of the principles underlying specific heat calculations.
Overall, the specific heat calculations worksheet is a valuable tool for students to practice and improve their skills in calculating heat energy transfer. By working through various problems and examples, students can enhance their understanding of specific heat and its applications in the field of science.
